Fleet Structure #3
chantelwetzel-noaa
started this conversation in
Ideas
Replies: 2 comments
Sign up for free
to join this conversation on GitHub.
Already have an account?
Sign in to comment
Uh oh!
There was an error while loading. Please reload this page.
Uh oh!
There was an error while loading. Please reload this page.
-
Overview
I have been doing a fair amount of work looking at the biological data from the commercial and recreational fisheries focusing on items that we may want to consider when determining fleet structure in the model.
Commercial
The majority of removals and biological data is arising from hook-and-line gear with very limited removals by other gear types. North of Point Conception across all PacFIN years there are only 348 lengths from gear types other than hook-and-line (N = 4268) and south of Point Conception, there are only 103 lengths from other gear types (hook-and-line N = 2585). I suggest not breaking out fleets into different gear types.
Within the biological data collected from the hook-and-line gear, there is a distinct difference in the fish being landed live versus dead, particularly for the northern area:
Simulation has shown that differences in the length composition data given the amount landed live versus dead would result in different composition data (e.g., differences are greater than a potential 2 cm bin). However, there are fairly limited sample numbers by year for each condition (live or dead) which will likely result in messy composition data. I think there are two potential options here: 1) have two fleets, live and dead, for each area with limited composition data by year for each, or 2) expand the composition data separately by live and dead samples and then combine them into a single fleet composition and we attempt to fit the multi-model distributions using splines that can allow multiple selectivity peaks.
Examining model performance based on each option will help inform the best option.
Recreational
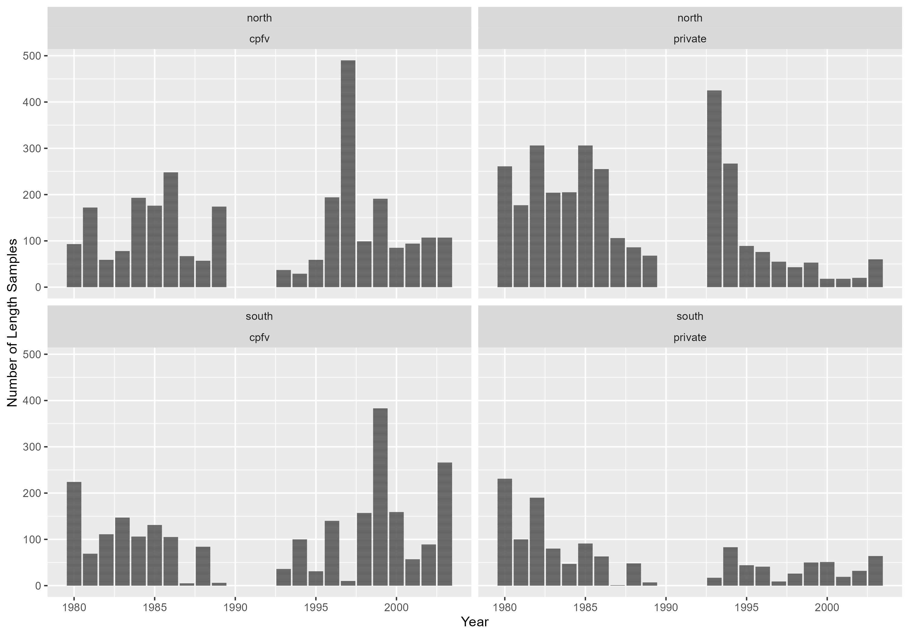
Propose having two fleets: 1) CPFV and 2) PR mode. This fleet structure allows us to develop separate CPUE for each mode to use in the model. Additionally, in the area north of Point Conception there are observed differences in the composition data observed from each mode. There are very few length samples from shore modes (e.g, beach and bank) in MRFS and CRFS data for both areas north (n = 148) and south (n =20).
The above figure shows lengths samples from CRFS for each area and mode. There is a similar pattern in length data from the MRFS period for each mode and area.
There are reasonable sample sizes across time for each of the recreational modes.
Beta Was this translation helpful? Give feedback.
All reactions