我認為台灣的股票市場為非效率市場假說,股票市場有太多的內線消息、投資人情緒及有心人士拉盤等狀況。假若測股票市場是由多個分布所組成的混和分布,若能找到方式有效的解析股市分布和特徵,便能有效股市進行預測。
此Project的重點會放在透過深度學行的模型,對特徵進行萃取,得出一個能表示股市分布的特徵向量,並利用該特徵向量進行股市的預測。(後續若有時間會做對萃取的特徵進行拆解的project)
- 比較PCA和AutoEncoder的降維效果
- 比較AutoEncoer和Variational Autoencoder在萃取特徵上的表現
- 比較AE+LSTM、VAE+LSTM和LSTM在預測股市上的表現
Notice: 模型皆未調整超參數,主要研究VAE對預測結果的影響
此Porject的data為台積電2010-2021年的資料。 特徵:
- 個股每日資訊
- 外幣資訊
- 相關產業股票資訊(e.g. 聯發科、三星、英特爾等等)
- 技術指標
- 三大法人交易資訊
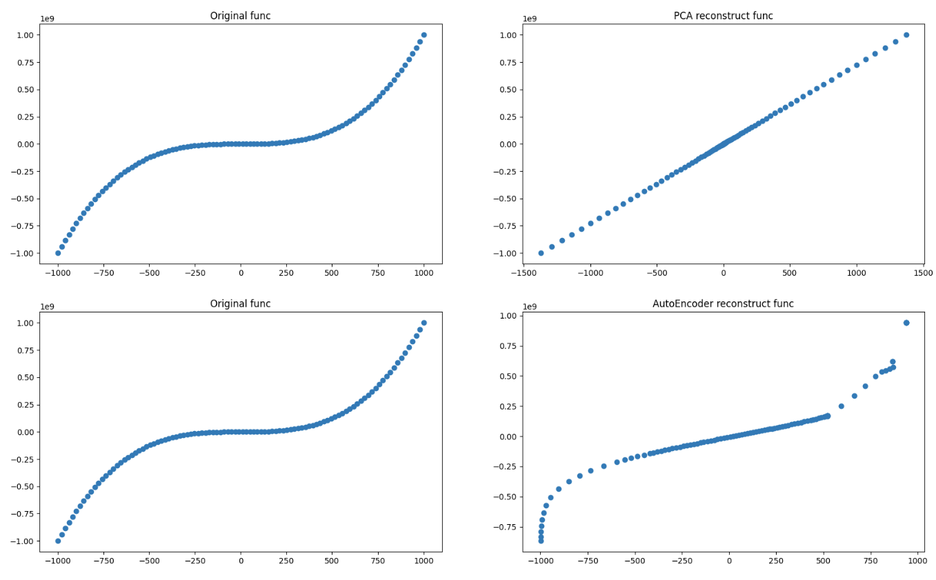
PCA和AutoEncoder這兩個方法,大家因該都是耳熟能詳。兩者的差異在於PCA是使用線性變換的方式,透過乘上一個矩陣,組合出能夠最有效區分所有資訊的特徵。而AutoEncoder的則是使用兩個對稱的NN模型,對原始資料進行編碼再還原,找出能夠最大限度降低information loss的Encoder和Decoder。
在數學上線性其實是非線性的特例,假若今天我們使用一層的Enocder和Decoder,並且Activation function選擇使用線性的(y = x),在適當的訓練下我們的AutoEncoder會達到與PCA相同的效果。
實驗將分成兩個部分,如下:
- 創建出一個有2個feature的函式,分別透過PCA和AE將其維度降至一維,在重建特徵。藉此去比較線性和非線性再進行維度下降時,比較哪種方式能夠保有較多的資訊。
- 創建出一個有3個feature的函式,一樣透過線性跟非線性的方式降至二維,比較在較高維度進行降維時的效果差異。
Notice: 詳細過程可以去看PCAvsAEdemo的Notebook
- 2個特徵的實驗結果
Autoencoder的概念是將高維的特徵,轉換到一個能代表該特徵特性的空間上,而這空間上的向量我們稱作維特徵向量。但有一個大問題便是,AutoEncoder在沒有特殊的限制下,往往會有Overfitting的狀況,因此VAE改良了此特性,在訓練時強制Enocder產生出一個空間分布,而這個空間分布要能最好的映射到原始的分布,藉此降低Overfitting的狀況。(大家可以把VAE當作是AE+正規化) 如果大家有興趣可以參考:
- 原始論文 : https://arxiv.org/abs/1312.6114
- https://medium.com/towards-data-science/difference-between-autoencoder-ae-and-variational-autoencoder-vae-ed7be1c038f2
- https://medium.com/towards-data-science/understanding-variational-autoencoders-vaes-f70510919f73
有興趣的可以去看stock_prediction的Notebook。
預測準確度比較(單純以隔天上漲為1和下跌為-1,針對模型沒看過的testing data進行Accuracy的比較)
- VAE確實能夠對特徵萃取有正向的影響,假設台股真的為非效率市場假說,那麼去解析特徵是很有可能從中找尋出更佳的預測特徵。
- VAE在時間序列的資料能有效地防止Overfitting的狀況產生。





